Türkiye Prefabrik Birliği | Sayı 113 - page 12

MAKALE
BETON PREFABRİKASYON
OCAK 2015
SAYI : 113
10
düzeyde kalmaktadır. Bu nedenle pat-
layıcı kavlanmanın oluşma ihtimalinin
bu betonlarda geçirimliliği daha az
olan yüksek dayanımlı betonlardan
daha küçük olduğunu ve yüksek daya-
nımlı betonlarla inşa edilmiş yapıların
yangından daha çok etkilendiğini be-
lirtmek uygun olmaktadır. Bu çalışma
kapsamında analizlerde C25 sınıfı be-
ton kullanılmıştır.
Donatı mekanik özelliklerinin sıcak-
lıkla değişimi
Betonarme yapı elemanlarının kesitle-
rindeki sıcaklık dağılımında donatı ora-
nına bağlı olarak da donatının etkisinin
fazla önemli olmadığı düşünülebilir.
Donatı sıcaklığı, donatının bulunduğu
derinlikteki beton sıcaklığına eşit ka-
bul edilebilir. Bu çalışma kapsamında
beton örtü kalınlığı ve yangının etkime
süresine bağlı olarak eğilme donatısı
ve etriye donatısının sıcaklık değerleri
ayrı ayrı hesaplanmıştır.
Yoğunluk değişimi
Donatı özkütlesinin,
ρ
s
=7850 kg/m
3
olduğu ve yüksek sıcaklıkta değişme-
diği kabul edilebilir. (TS EN 1992-1-2)
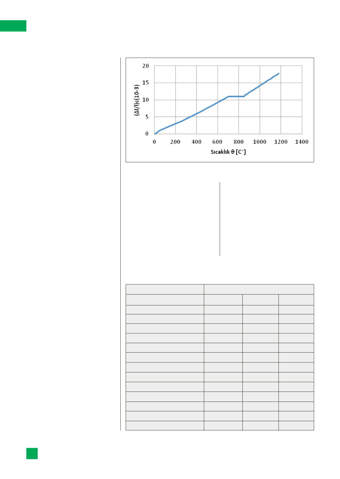
Isıl genleşme sayısının değişimi
Çeliğin ısıl genleşme katsayısı,
α
s
aşa-
ğıda TS EN 1992-1-2’de verilen eşitlik-
lere göre hesaplanmış ve grafik olarak
sunulmuştur. Isıl genleşme katsayısı
sıcaklık arttıkça artmaktadır.
Gerilme şekil değiştirme eğrisinin
değişimi
Donatı çeliğinin üretim şekli dayanımı-
nı etkilemektedir. Sıcak haddelenmiş
ve soğuk işlem görmüş donatı çeliği
için TS EN 1992-1-2’de belirtilen para-
metrelere ait yüksek sıcaklıktaki değeri
verilmiştir. Bu çalışma kapsamında
Türkiye’de de yaygın olarak kullanılan
soğukta işlem görmüş (S420b) çeliğe
ait parametrelere yer verilmiştir. Yük-
sek sıcaklıktaki çelik dayanım ve şekil
değiştirme özellikleri TS EN 1992-1-
2’de gerilme - birim şekil değiştirme
ilişkisi olarak verilmiştir. Aşağıda veri-
len gerilme - şekil değiştirme ilişkileri
iki parametre ile ifade edilir. Orantılılık
sınırı f
sp,
θ
’e karşılık gelen birim şekil de-
ğiştirme,
ε
sp,
θ
en büyük gerilme sevi-
yesi f
sy,
θ
’e karşılık gelen birim şekil de-
ğiştirme
ε
sy,
θ
, doğrusal elastik bölümün
eğimi E
s,
θ
olarak ifade edilir.
Çeliğin yüksek sıcaklıktaki ana para-
metreleri yukarıdaki tabloda verilmiştir.
Sıcaklığın ara değerleri için doğrusal
interpolasyon yapılmaktadır. Çeliğin
yüksek sıcaklıktaki gerilme-birim şe-
kil değiştirme ilişkisi aşağıdaki mate-
matiksel modelde verilmiştir. (TS EN
1992-1-2)
Şekil 9.
Donatı çeliğinin ısıl genleşme katsayısının sıcaklıkla değişim grafiği.
Tablo 2.
Sıcak haddelenmiş donatı çeliğine ait TS EN 1992-1-2’de verilen sıcaklığa bağlı
gerilme ve elastisite modülündeki kayıplar.
Çelik Sıcaklığı,
θ
Soğuk İşlenmiş
[ºC]
f
sy,
θ
/ f
yk
f
sp,
θ
/ f
yk
E
s,
θ
/E
s
20
1.00
1.00
1.00
100
1.00
1.00
1.00
200
1.00
0.81
0.90
300
1.00
0.61
0.80
400
0.94
0.42
0.70
500
0.67
0.36
0.60
600
0.40
0.18
0.31
700
0.12
0.07
0.13
800
0.11
0.05
0.09
900
0.08
0.04
0.07
1000
0.05
0.02
0.04
1100
0.03
0.01
0.02
1200
0.00
0.00
0.00
1...,2,3,4,5,6,7,8,9,10,11 13,14,15,16,17,18,19,20,21,22,...52
Powered by FlippingBook