Türkiye Prefabrik Birliği | Sayı 113 - page 17

MAKALE
BETON PREFABRİKASYON
OCAK 2015
SAYI : 113
15
lanan mafsallar kirişlerin mesnet böl-
gelerine atanmıştır. Yangın süresi art-
tıkça elemanların hasar seviyeleri de
artmıştır. Kiriş elemanlarının kesme
kapasitelerine ait hasar sınırları tespit
edilirken eğilme kapasitelerinin tespi-
tinden farklı olarak deformasyon bazlı
bir kontrol değil kuvvet bazlı bir kon-
trol yapılmıştır. Bu kapsamda mevcut
yapının kesme kapasiteleri ile üzerine
gelen kesme zorları karşılaştırıldığında
tüm elemanlar sünek kalmaktadır. An-
cak yangın etkisine maruz kalmış kiriş
elemanları özellikle farklı yangın süre-
sine bağlı olarak farklı hasar sınıfları
içerisindedirler. Yangın süresinin 120
dk. ve 180 dk.’a çıktığı senaryolarda
kesme dayanımının yetersiz olduğu
ve elemanların gevrek olarak göçtüğü
görülmektedir. Bu durum yangın et-
kisinde pas payı kalınlığının önemini
göstermektedir. Etriye donatısı, eğilme
donatısına göre daha dış beton katma-
nında bulunmakta ve yangından daha
çabuk etkilenmektedir.
Sonuç olarak, yapılan analizlerde pas
payının ve yangın süresinin öneminin
yangın etkisinin yapıda oluşturabile-
ceği hasarları etkilemede büyük önem
taşıdığı anlaşılmaktadır. Özellikle dü-
şük pas payı kalınlığında ve 2 saate
ulaşan yangın durumlarında yapıların
mühendislik hizmeti alınarak hasar du-
rumları tespit edilmeli ve gerekli görül-
düğü taktirde gerekli yapısal onarım ve
güçlendirme müdahalelerinde bulunul-
malıdır. Hali hazırdaki yapıların yangın
güvenliği konusunda alınabilecek ön-
lemler dahilinde uygulaması en kolay
olan yüksek sıcaklığa karşı geliştirilmiş
izolasyon malzemeleri ile yapısal ele-
manların korunmasının faydalı olacağı
düşünülmektedir.
Elde edilen bu çalışma sonuçları ile
sayısal olarak tam bir karşılaştırma
yapılacak literatür değerleri bulunama-
mıştır. Belki bu çalışma bundan sonra
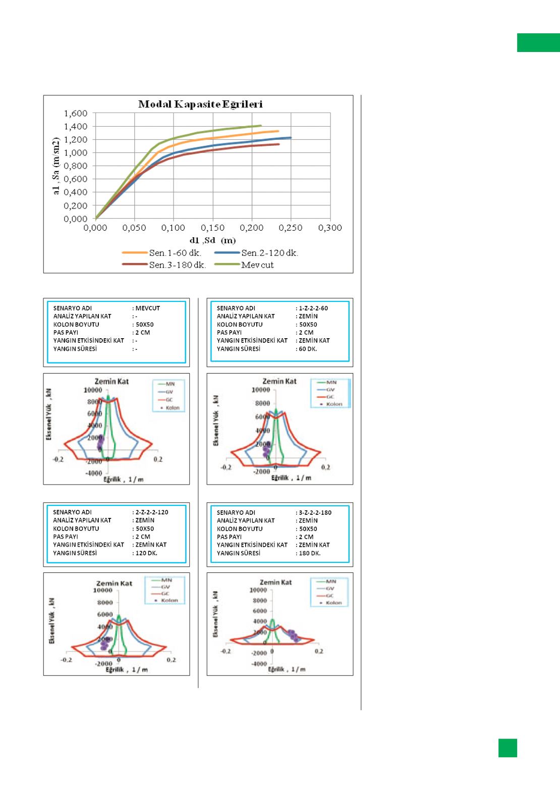
Şekil 19.
Modal kapasite grafiği.
Şekil 20.
Yangın süresine bağlı olarak kolon kapasiteleri ve hasar seviyeleri.(a) Mevcut
durum, (b) 60 dak. yangın etkisi, (c) 120 dak. yangın etkisi, (d) 180 dak. yangın etkisi.
(a)
(c)
(b)
(d)
1...,7,8,9,10,11,12,13,14,15,16 18,19,20,21,22,23,24,25,26,27,...52
Powered by FlippingBook